页岩纳米孔隙中吸附气与游离气共存是页岩气(甲烷)的重要特征,以往单独针对吸附气或游离气的赋存机理及含量评价开展了大量研究,但针对吸附气与游离气共存机制还缺乏清晰的认识。本文基于我们前期建立的“气体量子物理吸附理论”(见https://doi.org/10.1016/j.marpetgeo.2024.107129),开发了描述气体吸附比例的数学模型和实验评价方法,进而揭示了页岩纳米孔隙中吸附气与游离气共存机制。创新性地提出了气体吸附比例(GAR)等于气体分子参与吸附的概率(P2)与单分子实现吸附的概率(P1)的乘积,即GAR=P1×P2。结合室内实验与地质资料,分析结果显示:①对于给定的气-固体系,GAR受控于温压条件:温度不变、压力变化,吸附气-游离气含量“同消同长”,且GAR保持不变;压力不变、温度变化,吸附气-游离气发生转换,吸附气-游离气含量“此消彼长”,GAR随温度增加而降低;②对于给定的温压条件,气-固相互作用强度越大,GAR越高;③气-固相互作用正效应(远)小于温度负效应;④温度越低、气-固相互作用越强,游离气占比越低;反之,吸附气占比越低。研究成果有助于深刻认识页岩纳米孔隙中甲烷赋存微观机理及原位页岩含气性。
研究成果发表在Chemical Engineering Journal国际期刊上,论文第一作者和通讯作者为十大体育网站李俊乾副教授,合作者包括十大体育网站杨晓东硕士、王民教授、赵建华副教授、宋兆京博士,以及中石油长庆油田公司勘探开发研究院虎建玲高工。

图1. 吸附气与总含气关系(a),页岩纳米孔隙中轨道分布,以n=4为例(b),分子概率分布(c);在图b中,I代表基态,II代表发生能级跃迁的激发态,III代表激发态

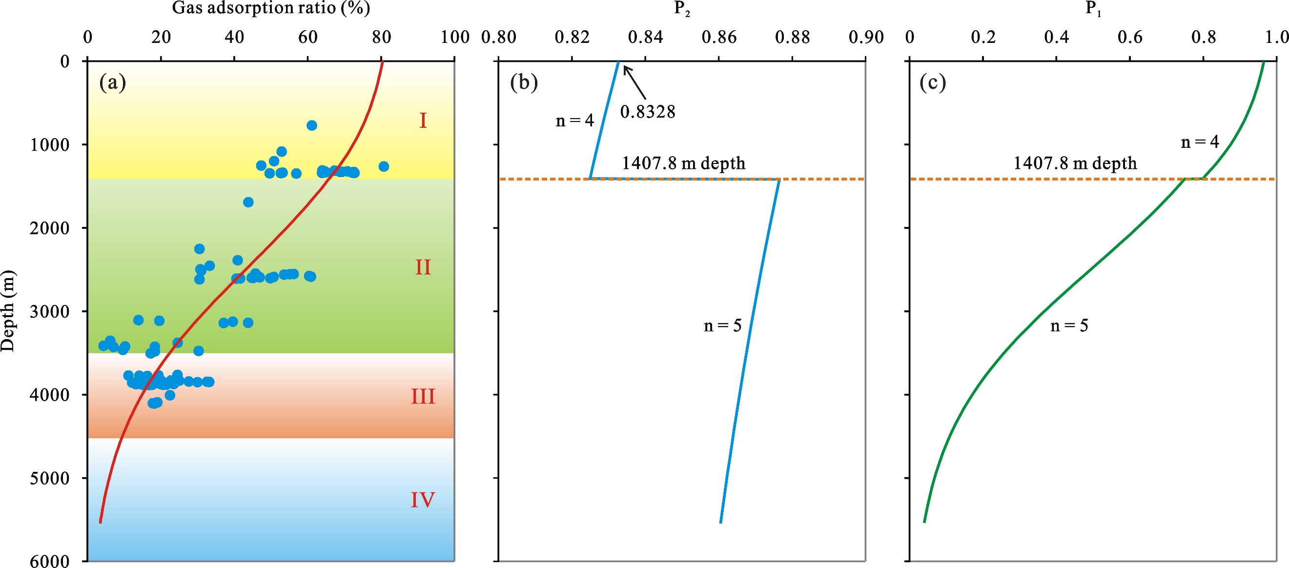
图2. 中国页岩气吸附比例演化剖面(a),以四川盆地为例,页岩中气体参与吸附的概率(b)与单个气体分子发生吸附的概率(c)演化剖面
论文信息:Junqian Li, Xiaodong Yang, Min Wang, Jianling Hu, Jianhua Zhao, Zhaojing Song. Modeling and evaluation on gas adsorption ratio: Insight into the coexistence mechanism of adsorbed and free gas in shales. Chemical Engineering Journal, 2025, 505: 159802. https://doi.org/10.1016/j.cej.2025.159802