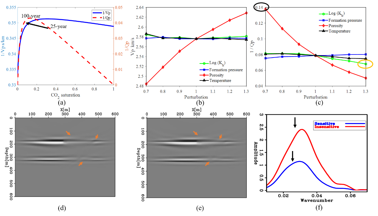
近年来,地质封存被广泛认为是减少大气CO2浓度的有效途径,其中深部咸水层因具备巨大储存潜力和广泛分布,被视为理想的封存场所。然而,为确保其长期安全性,亟需深入理解储层物性及其对CO2运移的影响。为此,开展CO2饱和度与纵波速度(Vp)、衰减(Qp)的敏感性分析,有助于揭示关键参数对封存过程的控制作用;同时,时移(4D)地震监测可有效追踪CO2分布,评估储层完整性,为CO2封存的安全监测提供重要支撑。为此,研究团队针对CO2地质封存过程中储层岩石物理与地震响应的动态变化特征,选取油藏模拟时的四个关键参数(渗透率、孔隙度、地层压力和温度),分别对这四个关键参数与CO2饱和度进行敏感性分析。基于岩石物理理论,建立了CO2饱和度与地震属性Vp和Qp之间的关系,最终从这四个关键参数中选取出对Vp和Qp最敏感的参数。继而基于黏声波动方程生成时移地震数据,最后进行逆时偏移成像。研究结果表明:温度升高和渗透率增大显著促进CO2羽流的横向运移速度,缩短其穿越断层的时间;而高孔隙度和高形成压力则在一定程度上抑制迁移速率。地震响应方面,CO2饱和度的增加导致纵波速度降低,衰减增加。敏感性分析进一步揭示,渗透率是对CO2饱和度变化最为敏感的控制参数,其次为温度和孔隙度。该结果为CO2封存项目的地震监测方案设计、关键参数优选及长期封存安全性评估提供了理论依据和数据支持。
图1.(a) CO2饱和度与1/Vp及1/Qp之间的关系;(b) Vp和(c) 1/Qp对影响因素的敏感性; (d) 对速度、衰减敏感的岩石物理参数逆时偏移成像结果;(e) 对速度、衰减不敏感的岩石物理参数逆时偏移成像结果;(f) 敏感与不敏感参数的频谱变化
研究成果近期发表在地学领域国际重要期刊Petroleum Science。论文第一作者是十大体育网站地震波传播与成像课题组博士生董艳娇,通讯作者为沈奕教授。本研究得到海洋油气高效开发全国重点实验室第六批开放基金(海油)、国家自然科学基金等项目的资助。
论文信息:Dong Y J, Shen Y, Guo K, et al. Characterization of petrophysical and seismic properties for CO2 storage with sensitivity analysis[J]. Petroleum Science, 2025, 22(1): 193-209. https://doi.org/10.1016/j.petsci.2024.07.011.
